A una velocidad pocas veces vista, el presidente del IPS, Vicente Battaglia, autorizó una millonaria cesión de créditos para las empresas Insumos Médicos SA (Imedic SA) y Eurotec SA, ambas pertenecientes a Justo Ferreira, Roque Dagogliano y Carlos Borrel y protagonistas con el caso de los fallidos insumos de bioseguridad para el Ministerio de Salud Pública.
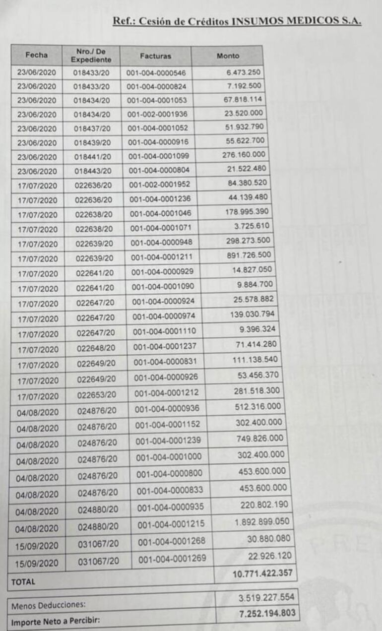
En total, el IPS autorizó la cesión de créditos por unos G. 17.000 millones a ambas firmas.
De acuerdo con los datos a los que tuvo acceso ABC Color, la cesión de créditos fue autorizada el lunes de la semana pasada y fue presentada por los representantes de las empresas apenas unos días antes.
Larga espera para otros
Todos los beneficios, en un solo lugar Descubrí donde te conviene comprar hoy

La cesión de créditos es una figura establecida en la ley de Contrataciones y que fue reglamentada durante los primeros meses del actual gobierno para tratar de disminuir la multimillonaria deuda de instituciones como el Ministerio de Salud o el IPS con los proveedores de medicamentos.
Básicamente, esta figura permite que los proveedores acuerden con bancos de plaza para que estos entreguen el dinero a las proveedoras y la deuda del IPS quede con las entidades financieras.
El dinero está disponible para los proveedores en unas 24 horas, señalaron a ABC Color fuentes del rubro farmacéutico.
En el caso particular del IPS, el Consejo de Administración aprobó hace ya algún tiempo que las cesiones de crédito sean autorizadas directamente por el presidente de la institución, sin necesidad de que pase por el órgano de gobierno. Es decir, en esta ocasión fue Vicente Battaglia, quien asumió en lugar del cuestionado Andrés Gubetich Mojoli, el que firmó la autorización de pago.
Lo curioso es que las empresas de Ferreira consiguieron la autorización para la cesión de créditos en cuestión de días, mientras que otras firmas que tienen deudas acumuladas de hace años siguen esperando. Es la misma celeridad y preferencia con la que fueron adjudicadas para entregar insumos que debían ser utilizados para hacer frente a la pandemia del coronavirus, que finalmente tuvieron que ser rechazados.
La cesión de créditos afecta también la disponibilidad de fondos del IPS para el pago con otros proveedores. Esto debido a que la cesión no elimina las deudas, sino que establece una obligación mensual del ente con el banco con el cual se acordó el desembolso del dinero.
Ligados a Samaniego

Otro elemento que suma a lo llamativo de la celeridad es los vínculos políticos tanto del actual titular del IPS, Vicente Battaglia; como del clan Ferreira. Es que ambos aparecen ligados a la senadora colorada Lilian Samaniego.
La familia de la legisladora tiene vínculos comerciales con empresas del clan Ferreira. Por ejemplo, las camas hospitalarias que habían sido importadas por el clan con intención de venderlas al IPS fueron encontradas en un depósito que figura a nombre de una de las sobrinas de Lilian Samaniego en el barrio San Vicente, cerca de la residencia de la familia.
Además, existen facturas de empresas del clan Ferreira emitidas a nombre de empresas de la familia Samaniego.
A todo ello hay que sumar que el propio Battaglia confirmó su cercanía política con la senadora. “Yo estoy en el grupo político de Lilian Samaniego”, había confesado a la 780 AM apenas unos días después de asumir.
Con estos elementos y a pesar de las múltiples sanciones, Battaglia autorizó la millonaria cesión para el clan Ferreira en cuestión de días.

