
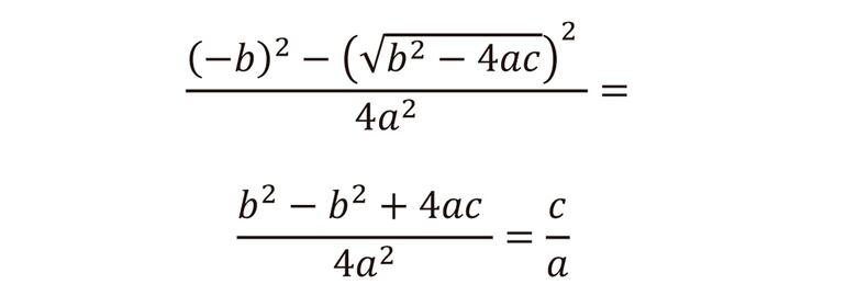
El numerador es una suma de dos expresiones por la diferencia de las mismas expresiones, entonces su resultado es la diferencia de cuadrados que escribimos abajo

Lea más: Problemas que se resuelven con ecuaciones cuadráticas (2)
Ejemplos
Sin resolver las ecuaciones siguientes, determina el valor de la suma y del producto de sus soluciones.

Determinación de una ecuación cuadrática a partir de la suma y el producto de sus raíces
S es la suma de las dos raíces o soluciones de la ecuación:

La ecuación de segundo grado se escribe como ax² + bx + c = 0
Se sustituye b y c por su valor: ax² – aSx + aP = 0
Se divide toda la ecuación entre el valor de a
Queda: x² - Sx + P = 0
Ejemplo
Determina la ecuación de segundo grado cuya suma de raíces es 2 y cuyo producto es -35.
Solución
S = 2; P = -35
La ecuación es x² - Sx + P = 0. Sustituyendo S y P por sus valores, se obtiene x² - 2x -35 = 0
Para comprobar que la suma y el producto de las soluciones de la ecuación son 2 y -35 respectivamente, basta con resolver la ecuación.

Luego, efectivamente la ecuación es x² - 2x -35 = 0.
