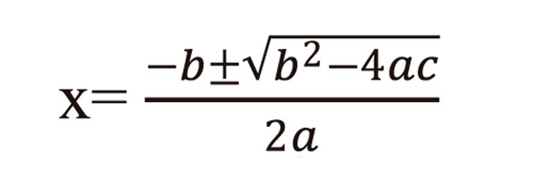
En la fórmula para la solución de una ecuación cuadrática

la expresión b²-4ac recibe el nombre de discriminante y lo simbolizamos mediante la letra delta mayúscula Δ, esto es:
Δ = b2 - 4ac.
Δ > 0 → La ecuación tiene dos soluciones reales distintas.
Δ = 0 → La ecuación tiene solución real única doble (o reales coincidentes).
Δ < 0 → La ecuación no tiene solución en los reales (2 raíces complejas conjugadas).
Recordemos que la representación gráfica de una ecuación de segundo grado es una parábola.
Lea más: Reconstrucción de una ecuación cuadrática
Cuando hablamos de la solución de una ecuación cuadrática, también solemos usar la expresión «raíces de la ecuación» o «ceros de la ecuación». Si observamos las gráficas de abajo, podemos asociar la expresión «ceros de la ecuación» con el hecho de que esos son los valores que toma la variable «x» cuando la variable «y» vale cero.

Ejercicio de práctica
Determina el valor del discriminante de cada una de las siguientes ecuaciones cuadráticas e indica la cantidad de soluciones reales que tiene.
| Ecuación | Discriminante Δ | Número de soluciones de la ecuación |
|---|---|---|
1. 3 + 4x – x² = 0 | ||
2. 2x – x² + 7 = 0 | ||
3. 9 x² + 2 = 0 | ||
4. 2 x² – 5x + 8 = 0 | ||
5. 2 x² - 4x + 2 = 0 | ||
6. 6 x² – 2x = 0 | ||
7. 5x – 4 x² – 1 = 0 | ||
8. 6x – 3 x² – 3= 0 | ||
9. x² – 4x + 12 = 0 | ||
10. x² – 9 = 0 |
A continuación, te presentamos un mapa conceptual de lo que hemos estudiado de ecuaciones cuadráticas.

Respuestas

