Si los clasificamos según sus ángulos tenemos lo siguiente:
Triángulo acutángulo: tiene sus tres ángulos agudos (miden menos de 90°).
Triángulo obtusángulo: tiene un ángulo obtuso (mide más de 90°).
Triángulo rectángulo: tiene un ángulo recto (mide 90°).
Además es muy importante que recordemos que la suma de los ángulos interiores de cualquier triángulo es 180º, por lo tanto:
- Un triángulo nunca puede tener más de un ángulo obtuso.
- Un triángulo nunca puede tener más de un ángulo recto.
- En un triángulo rectángulo, la suma de los otros dos ángulos (ambos agudos) es igual a 90º.
Ahora les damos nombres especiales a los lados de un triángulo rectángulo.
Los lados que forman el ángulo recto se llaman catetos y el lado opuesto al ángulo recto se llama hipotenusa.
¿Quiénes trabajaron especialmente con los triángulos rectángulos?
Lea más: Pitágoras, maestro matemático
Un histórico matemático griego, llamado Pitágoras (659–475 a. C.) fue quien aportó a la geometría el llamado teorema de Pitágoras, que sirve para hallar la longitud de la hipotenusa si se conoce la longitud de los catetos.
¿Qué dice el teorema de Pitágoras?
En todo triángulo rectángulo se cumple que: El cuadrado de la longitud de la hipotenusa es igual a la suma de los cuadrados de las longitudes de los catetos.
Observemos: En un triángulo rectángulo el área del cuadrado que se forma sobre la hipotenusa es igual a la suma de las áreas de los cuadrados que se forman sobre los catetos.
Notemos en la gráfica que el área del cuadrado construido sobre la hipotenusa es de : 5^2 = 25, y la suma de las áreas de los cuadrados construidos sobre los catetos es igual a 3^2 + 4^2 = 25
Si denotamos con «a» la longitud de la hipotenusa y con «b» y «c» las longitudes de los catetos, tenemos que «a^2 = b^2 + c^2 » .
Sin embargo, si se conoce la longitud de dos lados de un triángulo rectángulo se puede conocer la longitud del tercer lado.
Si a partir de la relación a^2 = b^2 + c^2 , se desea conocer la longitud de la hipotenusa, si se conocen las longitudes de los catetos, se aplica la raíz cuadrada en ambos miembros de la igualdad, y se obtiene la fórmula:

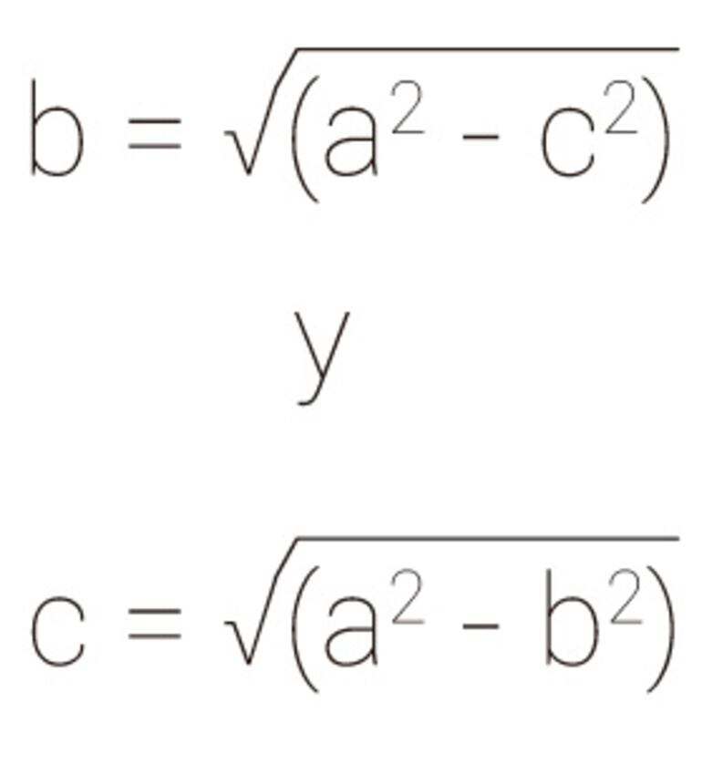
Si se conocen la longitud de la hipotenusa y la longitud de uno de los catetos, entonces se despeja de la expresión a^2 = b^2 + c^2 la variable que se desea conocer y luego se calcula la raíz cuadrada de ambos miembros, resultando las siguientes fórmulas:

Es muy importante observar que en estas últimas dos fórmulas se resta el cuadrado de la longitud del cateto del cuadrado de la longitud de la hipotenusa.
También se puede calcular el perímetro y el área.
Para calcular el perímetro solamente debemos sumar las longitudes de los lados de la figura y en el caso de los triángulos, sumamos las longitudes de los tres lados.
P = a + b + c.
Por otro lado, el área de los triángulos rectángulos se halla al multiplicar las longitudes de los catetos (recordemos que son perpendiculares) y dividir entre 2.

Si los números que representan las longitudes de los lados de un triángulo rectángulo son números enteros reciben el nombre de terna pitagórica.
Son ejemplos de ternas pitagóricas:
3, 4 y 5, pues, 3^2 + 4^2 = 5^2
6, 8 y 10, pues, 6^2 + 8^2 = 10^2
Una forma sencilla de construir ternas pitagóricas es multiplicar por el mismo número entero cada uno de los valores de la terna con valores más pequeños: 3, 4 y 5
Construye 3 ternas pitagóricas distintas de las escritas anteriormente.
