Recuerda que si se tratan de numeradores o denominadores polinomios, debes factorizar previamente cada polinomio, para luego proceder con la operación indicada. Además no debes olvidar simplificar la fracción hasta dejar en su forma más simple.
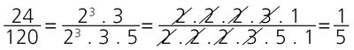
No olvides que para simplificar una fracción (numérica) podemos factorizar el numerador y denominador y simplificar (tachar) los términos comunes.
De forma análoga, para simplificar una fracción algebraica, factorizaremos los polinomios numerador y denominador, y simplificaremos. En algunos casos particulares nos será más rápido usar técnicas elementales como sacar factor común o usar los productos notables.
Simplifica las siguientes fracciones algebraicas usando los productos notables y sacando factor común donde proceda.
Todos los beneficios, en un solo lugar Descubrí donde te conviene comprar hoy
Fuente
wiki1b-mar-aguera.wikispaces.com/.../FRACCIONES+ALGEBRAICAS
